Chess Players Truel
Players A, B, and C play a series of chess games. Assume that A is the strongest player and C is the weakest one. Assume that there is no tie for each game. The winner of each game will play with the 3rd player. The player who first gets 2 wins is the winner of the series. The player B determines who will play the 1st game. Find the best choice for B. In general: if probability of A to win B is
|Contact| |Front page| |Contents| |Probability|
Copyright © 1996-2018 Alexander Bogomolny
Players A, B, and C play a series of chess games. Assume that A is the strongest player and C is the weakest one. Assume that there is no tie for each game. The winner of each game will play with the 3rd player. The player who first gets 2 wins is the winner of the series. The player B determines who will play the 1st game. Find the best choice for B. In general: if probability of A to win B is
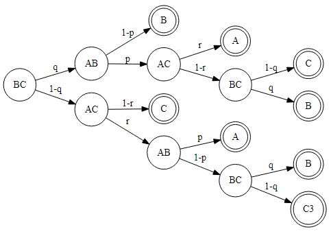
The simplest way to approach the problem is by constructing an event tree. We are going to have three of them. The trees grow downwards starting with one of the pairs AB, BC or AC. Each node is a game, except for the terminal ones shown in double circles. These are the winners of the tournament who collected two wins first. For the first two trees we'll find the probability of B being the winner. These will be denoted PAB and PBC. We assume the outcomes of all games are independent.

PAB = p·(1 - r)·q·(1 - p) + (1 - p)·q + (1 - p)·(1 - q)·r·(1 - p).

PBC = q·(1 - p) + q·p·(1 - r)·q + (1 - q)·r·(1 - p)·q.
The task is to compare the two expressions PAB and PBC assuming
| What if applet does not run? |
So here are the two expressions to compare:
- PAB = p·(1 - r)·q·(1 - p) + (1 - p)·q + (1 - p)·(1 - q)·r·(1 - p).
- PBC = q·(1 - p) + q·p·(1 - r)·q + (1 - q)·r·(1 - p)·q.
In the difference PBC - PAB, the common term (1 - p)·q cancels out leading to
PBC - PAB
which, since p + q > .5 + .5 = 1, is positive. Note that this is true even without the condition
- What Is Probability?
- Intuitive Probability
- Probability Problems
- Sample Spaces and Random Variables
- Probabilities
- Conditional Probability
- Dependent and Independent Events
- Algebra of Random Variables
- Expectation
- Probability Generating Functions
- Probability of Two Integers Being Coprime
- Random Walks
- Probabilistic Method
- Probability Paradoxes
- Symmetry Principle in Probability
- Non-transitive Dice
|Contact| |Front page| |Contents| |Probability|
Copyright © 1996-2018 Alexander Bogomolny
74217807
